水泥回转窑耐火衬里耐火砖膨胀缝的设计要求
水泥回转窑耐火衬里耐火砖膨胀缝的设计要求
1、耐火砖的布置
升温以后,水泥回转窑的窑体、耐火砖都会膨胀。但是,钢板和耐火砖的热膨胀系数不同,耐火砖各部位的温度高低也不相同,这就产生了膨胀差。膨胀差可以产生空隙,致使砖块松动;也可以产生应力,致使砖块挤坏。如果砖块之间不挤紧,就会发生抽签、掉砖事故。如果砖块挤得太紧,挤压力超过了砖的强度,就会使窑衬耐火材料破坏。所以,既要不抽签、不掉砖,又要不把砖挤坏,就要研究膨胀缝的留设问题。回转窑内,耐火砖的布置如图所示。

由图可知,膨胀缝的留设主要是解决不同耐火材料的径向缝和轴向缝的留设问题。
2、膨胀差异
金属材料和耐火材料的具有不同膨胀系数,耐火材料热端和冷端具有不同的温度。热膨胀量的计算式见式,不同材料的热膨胀系数见表。

由表可知:从耐火砖的冷端来看,黏土砖、高铝砖的热膨胀低于窑体;碱性耐火砖的热膨胀和窑体相当。冷热端对比来看,大小头温差为1000℃时,碱性耐火砖的相对膨胀高达1.2%,高铝砖的相对膨胀仅为0.75%。因此,黏土砖、高铝砖更容易发生抽签、掉砖事故;碱性耐火砖的热端则更容易被挤坏。因此,为防止抽签、掉砖,黏土砖、高铝砖常用火泥砌筑。为防止热端被挤坏,碱性耐火砖则常用干法砌筑。
对于碱性耐火砖,大小头温差1000℃时,冷端的膨胀和窑体一致,热端对冷端发生1.2%的相对膨胀。所以,必须用膨胀缝进行补偿。对于高铝砖,大小头温差1000℃、小头升温200℃时,冷端对窑体发生0.1%的收缩,热端发生0.7%的膨胀。由于冷端发生收缩,耐火砖和窑体之间出现空隙,热端相对膨胀只有0.6%,一旦耐火砖的热端受热后发生较大收缩,就有可能发生抽签、掉砖。所以,一般不在窑内铝硅质耐火砖衬中留设膨胀缝,还要砌紧窑衬耐火材料。只在铝硅质整体性耐火材料中留设一定的膨胀缝。
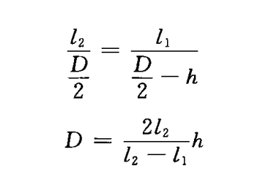
3、曲率直径
根据耐火砖的曲率直径D和图中所示耐火砖大头尺寸L2,耐火砖小头尺寸L1,耐火砖的高度h之间满足以下关系。

如用一种耐火砖砌窑,当砖的曲率直径大于窑的曲率直径,砌窑后砖的小头就会处于挤压状态,大头就会处于放松状态。升温中,砖的小头受到强烈的挤压。使用中,小头损耗以后,如砖的剩余部分不能挤紧,就会发生抽签、掉砖事故。当砖的曲率直径小于窑的曲率直径时,砌窑后砖的大头处于挤紧状态,小头处于放松状态。升温中,砖的小头预留有一定的空间,可以容纳热端的膨胀。使用后,砖的小头损耗以后,大头还能挤紧。从以上可知,理想的状态是大头挤紧,小头适度放松。但为防止“爬坡”,还需在砖的小头垫薄钢板条或涂抹火泥。
如果采用两种砖砌窑,稍多选一些曲率直径小的砖,稍少选一些曲率直径大的砖,在砖的小头垫钢板或涂抹火泥以留设膨胀缝,也可以实现“大头挤紧.小头留缝”。留缝后,务必打足钢板,以紧锁衬砖和防止掉砖。
4、膨胀缝的留设
干砌碱性耐火砖时,径向缝设置为窑长的1%,即在每块长200mm砖的两端垫厚2mm的纸板;轴向缝设置为每块砖约0.1mm。为防止掉砖,5000t/d以上水泥窑也可以不设轴向缝。设置方法:制作厚度1mm.长宽较砖的大面略小的钢板,用量为砖块的1/10左右。受热后,钢板受压后变形,可吸收砖的热膨胀。但是,钢板氧化又会产生膨胀,固不宜多用钢板。
从以上可知,砖衬径向缝的补偿作用较强;但轴向缝的补偿作用很弱。所以,一些耐火材料企业研制了“柔性”(弹性模量低的)碱性耐火材料,并取得了一定效果。
综上所述便是郑州超裕耐火材料厂家,为大家讲解的有关于水泥回转窑耐火衬里耐火砖膨胀缝的设计要求。





